光泽度仪,也叫光泽仪,是用来测定陶瓷、油漆、油墨、塑料、大理石、铝、五金等材料表面光泽度的仪器。高精度光泽度仪按照角度分为高光泽、中光泽和低光泽三种类型。光泽度与机械加工行业的“光洁度”或“粗糙度”的概念完全不同,后者是针对材料表面微小不平度的评定、/span>
第一:光泽度是在一组几何规定条件下对材料表面反射光的能力进行评价的物理量,具有方向选择的反射性质。我们通常说的光泽指的是“镜向光泽”,所以光泽度计有时也叫“镜向光泽度计”。光泽与机械加工行业的“光洁度”或“粗糙度”的概念完全不同,后者是对材料表面微小不平度的延续、br/> 第二:光泽度计的测量原理如下图所示。仪器的测量头由发射器和接受器组成,发射器由自炽光源和一组透镜组成,它产止一定要求的入射光束。接受器由透镜和光敏元件组成,用于接受从样品表面反射回来的锥体光束、br/>

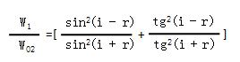
镜像光泽度是对镜向光泽的相对测量。参照标准是以折射率np=1.567的黑玻璃,假设其平面在得到理想抛光的状态下,由该平面对自然光束进行镜向反射,并定义此时的光泽度值为100.0光泽单位 光泽度板按光泽度值又分为高、中、低三种。高光泽度板由黑色光学玻璃或他材料制成。中光泽度板和低光泽度板由涂釉陶瓷或黑色光学玻璃磨砂制成 光泽度计利用光反射原理对样品的光泽度进行测量。即:在规定入射角和规定光束的条件下照射样品,得到镜向反射角方向的光源、br/> 用波动理论可以定性的解释材料的许多光学性能。根据波动理论可以导出,单位时间通过单位面积的入射光的能量W与反射光的能量流W之比、/span>

式中:i——入射光线和法线之间的夹?入射?:br/> r——折射角、br/> 光泽是物体表面定向选择反射的性质,体现在表面上呈现不同的亮斑或形成重叠于表面的物体的像。光泽度是物体受光照射时表面对光的反射能力,通常以试样在镜面(正反射)方向的相对于标准表面的反射率乘?00来表示,卲br/> G=100R/R、br/> 公式中的R——试样表面的反射率;
R。——标准板的反射率、br/> 以抛光完善的黑玻璃作为参照标准板,其钠D射线的折射率?.568,对于每一个几何光学条件的镜向光泽度定标为105光泽度单位、br/> 用于测量塑料、陶瓷、油墨、石材、纸张和金属、医疗等平面制品的表面光泽度、/span>
按角度大多可以分为:20度,45度?0度?5度?5度等、br/> 有的厂商可以制作出双角度或三角度光泽度仪、br/> 85度为低光泽仪?0度为高光泽仪。依此类推,使用最多的?0度中光泽仪、/span>
m.cnreagent.com
