当某些材料的颗粒尺寸小到一定程?如纳米级)的时候,就会表现出和块体材料完全不同的特性,如:

由于纳米颗粒有极大的表面积,这种本身的特性将会导致在乳液中的纳米分散体性极不稳定,会有以下现象发生9/span>

因此,对纳米物料的研究中所使用的仪器必须满足以下性能的检测需要:
1、检测纳米物料的确切的颗粒大小和粒度分布:br/> 2、考察在该粒度大小和分布下的纳米分散体系的稳定性、/span>
要了解纳米粒度仪的原理,首先要观察不同大小的颗粒在光中的现象9/span>

对单个纳米颗粒进行观察并收集其不规则的波动的散射光强信号如下图:

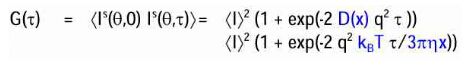
当颗粒在液体中形成分散体?悬浮?时,液体分子的布朗运动导致颗粒在溶剂中扩散,传统的光子相关光谱法(PCS)就是通过测量微粒在液体中的扩散率来测试其颗粒度大小的、br/> 扩散系数D同颗粒粒径x之间满足Stock-Einstein方程式:
D(x)=KBT/3πηx
式中:D 扩散系数
KB:波尔兹曼常?br/> η 溶剂的粘?br/> T 绝对温度
x 微粒的粒徃br/> 通过Stock-Einstein方程弎strong>D(x)=KBT/3πηx,我们得到了扩散系数D和颗粒粒径大小x 间的关系,此时引入了自相关函?Auto-correlation Function)G(τ)9/span>

从自相关函数得到光强衰减变化I(θ)同扩散系数D(x)的关系式,再通过Stock-Einstein方程得到颗粒的粒度大小x同光强衰减变化I(θ)的关系,从而得到光强变化的衰减常数与粒径x成反比:
衰减常数?/x(粒径)
纳米粒度仪颗粒尺寸的确定
第一步:通过光强衰减变化计算自相关函数G(τ),左下图
第二步:从Ln(G(τ)-1)函数的斜率求解粒径,右下国/span>

所以:
光强衰减变化快:颗粒细;
光强衰减变化慢:颗粒粗!
PCS光子相关光谱法是在考虑单个球形颗粒的情况下推导出来的,而实际所需要测试的物料是很难满足其理论推导过程中的单个理想球形颗粒状态,同时,对于检测得到的光强信号,不管是否是单个颗粒发生散射产生的单散射信号,还是经过多个颗粒多次散射后的信号,仪器都把它们当作单散射信号来进行处理,那么在实际应用中就有不可避免的局限性,导致测试结果同实际结果的严重的偏差,所以,当采用PCS原理来检测纳米粒度的时候,需要对样品进行高倍稀释,这样就会造成9br/>1、信噪比差;
2、测试时间长:br/> 3、易于受灰尘干扰:br/> 4、工艺难以控制;
5、很多样品不允许稀释而且非常重要的是在实际测试中,有很多样品如果稀释的话会导致样品变性,那么当不允许稀释的高浓度溶液和混浊体系中由于颗粒发生多重散射,采用PCS原理就得不到正确的结果、/strong>
m.cnreagent.com
