产品说明
法律信息
Tracey is a trademark of Glass Expansion Pty Ltd
基本信息
产品性质
SUPELCO
IsoMistTMKit with PFA Spray Chamber
Multi-component Alcohol Mix
Octocrylene
奥克立林
Platinum Sampler Cone
Platinum Skimmer Cone
Sodium carbonate concentrate
碳酸 溶液
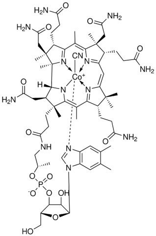
Cyanocobalamin
氰钴胹/p>
Amberlite?IR120 钠型, Amberlite?IR120 Na+ form
[(3R)-3-Hydroxybutyryl]- L -carnitine-(N-methyl-d3)
Bis(2-ethylhexyl) Adipate
己二酸二(2-乙基己基)?/p>