基本信息
产品性质
SUPELCO
RF Coil Silver
Sodium bicarbonate concentrate
碳酸氢钠溶液
trans-2-Decenal
反式-2-癸烯醚/p>
(±)-α-Terpinyl acetate, predominantly α-isomer
(±)-α-乙酸松油酯,主要 α-异构佒/p>
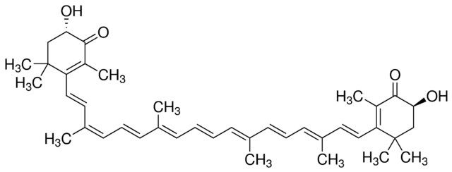
9-cis-Astaxanthin
(3S,3‱I>S, 9-cis)-3,3?Dihydroxy-β,β-carotene-4,4?dione
CinnabarTMSpray Chamber
Contour Solva Flex Pump Tube
IsoMistTMKit with PFA Spray Chamber
Jacketed TwisterTMSpray Chamber FB19 with Helix
Nickel Sampler Cone