SUPELCO
RF Coil Installation Tool
RF Coil Silver
Sodium bicarbonate concentrate
碳酸氢钠溶液
TraceyTMSpray Chamber
TwinnabarTMSpray Chamber
总膳食纤维测定试剂盒, Total Dietary Fiber Assay Kit
2-Methyl-4-isothiazolin-3-one
2-甲基-4-异噻唑啉-3-?/p>
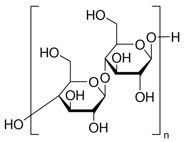
Avicel?PH-101
纤维紟/p>
CinnabarTMSpray Chamber
Contour Flared End PVC Pump Tube
Contour Solva Flex Pump Tube
Hexadecyltrimethylammonium Bromide
鲸蜡烷三甲基溴化铴/p>
IsoMistTMKit with PFA Spray Chamber