[ 登录] [ 免费注册]
试剂仪器? title=
位置9a href="//www.vuestras.com/sigma-aldrich/">首页> 品牌> Sigma-Aldrich> DHPC; 1,2-二丙?sn-甘油-3-磷酸胆碱; PC??/6?(/a>

06:0 PC (DHPC)

DHPC; 1,2-二丙?sn-甘油-3-磷酸胆碱; PC??/6?(/h1>

品牌
Avanti
CAS
34506-67-7
货号
850305P
规格纯度
1,2-dihexanoyl-sn-glycero-3-phosphocholine, powder
参考价栻/div>
1043.15 兂/span>*本价格含增值税贸/span>
促销
服务
  • ∙/span>原厂保证
  • ∙/span>包邮
  • ∙/span>增值税?/li>
数量
- +

产品名称9/div>
34506-67-7
06:0 PC (DHPC)
DHPC; 1,2-dicaproyl- sn-glycero-3-phosphocholine; PC(6:0/6:0)
DHPC; 1,2-二丙? sn-甘油-3-磷酸胆碱; PC??/6?(br />
产品介绍9/div>

产品说明

一般描?/p>

07:0 PC (DHPC)/1,2-二庚?sn-甘油-3-磷酰胆碱是一种起清洁剂作用的磷脂。磷脂酰胆碱(PC)是具有很强的双层形成能力的脂质。它是最常见的哺乳动物膜磷脂。它也是结肠粘膜层的重要组成部分、br />Avanti提供的磷脂酰胆碱产品清单旨在提供具有多种物理性质的化合物。其中产品包括短?C3-C8具有水溶性和吸湿?、饱和、多不饱和和混合酸性PC。所有产品均通过HPLC进行纯化,并采取特殊预防措施以防止产品氧化和水解、/p>

应用

06:0 PC (DHPC) 适用于:

  • 开发一种通过亚临界流体色谱分离磷脂的方法
  • 制备bicelle胶束样品
  • 制备脂质囊泡用于鸟苷?5-三磷 (GTP) 水解(GTP?检
  • 建立bicelle胶束系统用于丙肝病毒(HCV) p7 通道的表征、/LI>

包装

5 mL透明玻璃密封安瓿(850305P-25mg)
60 mL棕色广口螺旋盖玻璃瓶(850305P-1g)
20 mL透明玻璃螺旋盖小?850305P-200mg)
30 mL 带螺旋盖的琥珀宽口?850305P-500mg)

基本信息

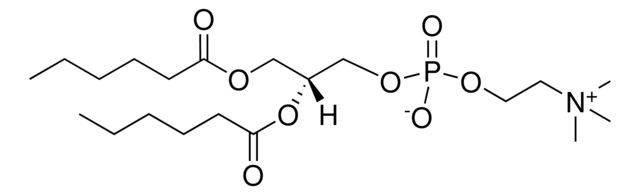
经验(实验)分子弎/td> C20H40NO8P
分子野/td> 453.51
NACRES NA.25

产品性质

测定 >99% (TLC)
形式 powder
包装 pkg of 1 1 g (850305P-1g)
pkg of 1 200 mg (850305P-200mg)
pkg of 1 25 mg (850305P-25mg)
pkg of 1 500 mg (850305P-500mg)
manufacturer/tradename Avanti Polar Lipids 850305P
运输 dry ice
储存温度 ?20ℂ/td>
SMILES string [O-]P(OCC[N+](C)(C)C)(OC[C@]([H])(OC(CCCCC)=O)COC(CCCCC)=O)=O

安全信息

储存分类代码 13 - Non Combustible Solids
WGK WGK 3
闪点(F) Not applicable
闪点(C) Not applicable

Sigma-Aldrich

推荐产品
Baidu
map