[ 登录] [ 免费注册]
试剂仪器? title=
位置9a href="/">首页> 产品庒/a> > Z-DEVD-FMK
立即咨询
咨询类型9/div>
*姓名9/div>
*电话9/div>
*单位9/div>
Email9/div>
*留言内容9/div>
请详细说明您的需求
*验证码:
Z-DEVD-FMK
本产品不向个人销售,仅用作科学研究,不用于任何人体实验及非科研性质的动物实验、/div>
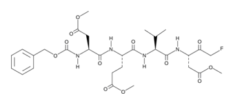
Z-DEVD-FMK图片
CAS NO: 210344-95-9
包装与价格:
包装 价格(?
2mg 电议
5mg 电议
25mg 电议
10mM * 1mL in DMSO 电议

产品名称
Caspase-3 Inhibitor
产品介绍

生物活?/h4>

Z-DEVD-FMK是一种特殊的不可逆的Caspase-3抑制剂

靶点信息

Caspase-3

化学数据

目录叶/td> A13503
作用机制 Inhibitor (抑制?
M. Wt 668.66
Formula C30H41FN4O12
Purity >99%
Storage

Store lyophilized at -20?C, keep desiccated.
In lyophilized form, the chemical is stable for36 months.
In solution, store at -20?C and use within3 monthsto prevent loss of potency. Aliquot to avoid multiple freeze/thaw cycles.

CAS No. 210344-95-9
Synonyms Caspase-3 Inhibitor
SMILES O=C(N[C@@H](C(C)C)C(N[C@H](C(CF)=O)CC(OC)=O)=O)[C@H](CCC(OC)=O)NC([C@H](CC(OC)=O)NC(OCC1=CC=CC=C1)=O)=O

溶解?/h4>
In vitro (25°C) DMSO 98 mg/mL (146.56 mM)
Water Insoluble
Ethanol Insoluble
In vivo 2% DMSO+30% PEG 400+5% Tween 80+ddH2O 1 mg/mL
*<1 mg/ml means slightly soluble or insoluble.
*Please note that Adooq tests the solubility of all compounds in-house, and the actual solubility may differ slightly from published values. This is normal and is due to slight batch-to-batch variations.

储备液配刵/h4>
Concentration / Solvent Volume / Mass 1 mg 5 mg 10 mg
0.1 mM 14.96 mL 74.78 mL 149.55 mL
0.5 mM 2.99 mL 14.96 mL 29.91 mL
1 mM 1.5 mL 7.48 mL 14.96 mL
5 mM 0.3 mL 1.5 mL 2.99 mL

*The above data is based on the productmolecular weight 668.66. Batch specific molecular weights may vary from batch to batch due to solvent of hydration, which will affect the solvent volumes required to prepare stock solutions.

Baidu
map