[ 登录] [ 免费注册]
试剂仪器? title=
位置9a href="/">首页> 试剂及耗材> 药物标准?/a>
女贞苶/div>
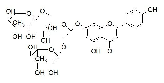
女贞苷图?></a></div>    <span style=
货号: STA-71500000
纯度含量: 98%以上
CAS NO: 260413-62-5
分子弎 C33H40O18
分子野 724.66
试剂产地: 国产试剂


产品名称
Ligustroflavone
产品介绍

⊙理化性质
·来源:沽油科植物山香圆叶
·提取部位:叶
·熔点?14-216?C
·沸点9br/>·溶解性:可溶于甲醇、乙醇中、吡啶中
·颜色:淡黄艱br/>·外观:粉末
·储存-温度?-8?C
·储存-干燥:干?br/>·储存-避光:避先br/>·是否有毒9br/>⊙药理作?br/>·清热泄火,利咽消肿。用于咽喉肿痛、/span>

上海诗丹德生物技术有限公号/span>
电话:点击&查看
联系亹 王先甞/span>
邮编: 201203
地址: 上海市浦东张江高科技园区蔡伦?20?号楼103宣/span>
同品牌产品:
猜您感兴趢/div>
换一扸/a>
请留下您的联系方式,登记完成即可查看电话与供应商联系,或等候供应商联系您、/div>
留言类型9/div>
*姓名9/div>
*电话9/div>
*单位9/div>
Email9/div>
*留言内容9/div>
请说明需求数量,型号规格以及纯度含量等要求
*验证码:
Baidu
map