梯希爰/p>
3-Methoxy-1-butanol
3-甲氧?1-丁醇
4-Methoxyphenol
4-甲氧基苯酙/p>
5-Methoxytryptamine
5-甲氧基色胹/p>
4-(Methylamino)azobenzene
4-(甲氨?偶氮?/p>
N-Methylanthranilic Acid
N-甲基邻氨基苯甲酸
N-Methylbenzylamine
N-甲基苄胺
Isovaleric Acid
异戊酷/p>
4-Methylcyclohexanol (cis- and trans- mixture)
4-甲基环己 (顺反混合?
2-Methyl-1,5-diaminopentane
2-甲基-1,5-二氨基戊烶/p>
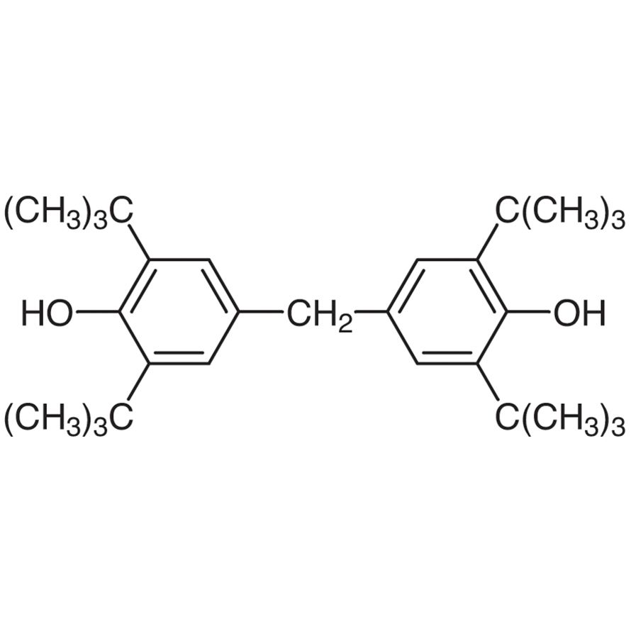
4,4'-Methylenebis(2,6-di-tert-butylphenol)
4,4'-亚甲基双(2,6-二叔丁基苯酚)
N-Methyl-D-glucamine
N-甲基-D-葡糖胹/p>
4-Methyldodecane
4-甲基十二烶/p>
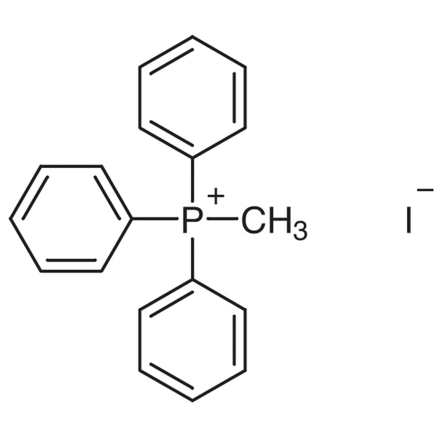
Methyltriphenylphosphonium Iodide
甲基三苯基鏻鎓碘化物
4-(Methylamino)benzoic Acid
4-(甲氨?苯甲酷/p>
5-Methyl-2-octanone
5-甲基-2-辛酮