梯希爰/p>
Isoamyl Laurate
月桂酸异戊酯
Lead Tetraacetate (contains Acetic Acid)
四乙酸铅 (含乙?
DL-Leucylglycine
DL-亮氨酰甘氨酸
L-Leucyl-L-tyrosine
L-亮氨?L-酪氨酷/p>
Linolenic Acid
亚麻酷/p>
DL--Lipoic Acid
DL--硫辛酷/p>
L-(+)-Lysine Monohydrochloride
L-(+)-赖氨酸单盐酸盏/p>
(2,4-Pentanedionato)lithium
(2,4-戊二酮基)锁/p>
Vinyl Laurate (stabilized with MEHQ)
月桂酸乙烯酯 (含稳定剂MEHQ)
DL-Leucic Acid
DL-闪白酷/p>
L-(-)-Lactide
L-(-)-交酯
D-(-)-Lysine Monohydrochloride
D-(-)-赖氨酸单盐酸盏/p>
Methyl D-(+)-Lactate
D-(+)-乳酸甲酯
Linoleic Anhydride
亚油酸酐
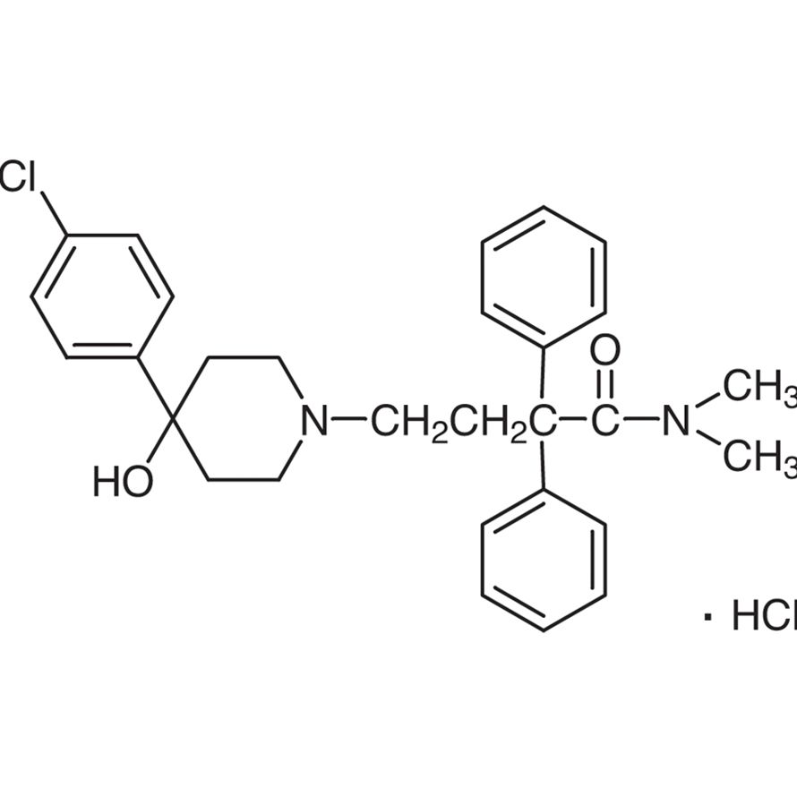
Loperamide Hydrochloride
盐酸洛哌丁胺