AccuStandard
14种邻苯二甲酸酯类, Custom Phthalate Esters Standard @ 1000 μg/mL in Hexane
自定义苯酚标准品 @ 1000 μg/mL 甲醇溶液, Custom Phenol Standard @ 1000 μg/mL in Methanol
Viscosity @ 40 (400 cSt)
自定义磷酸酯标准 @ 100 μg/mL 甲苯溶液, Custom Phosphate Ester Standard @ 100 μg/mL in Toluene
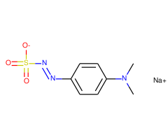
Fenaminosulf,1000 μg/mL in Acetonitrile
18种有机锡混标@100ug/ml in Methanol(ISO 17353:2004), Custom Organometallic Standard@100 μg/mL in Methanol
Tolpyralate,100 μg/mL in Acetonitrile
定制 OP 农药标准 2 @ 2000μg/ml 甲苯溶液, Custom OP Pesticide Standard 2 @ 2000μg/ml in Toluene
15种硝基苯混标100&1000 ug/mL in Hexane:Toluene (30:70)(硝基苯与??对硝基甲苯为1000ug/ml), Custom Nitrated Standard @ Varied Conc.in 30% Toluene 70% Hexane