|
GB/T 12157-2022 工业循环冷却水和锅炉用水中溶解氧的测定——内电解泔/div>
2023.02.27 点击1065欠/div>
原理 在pH值为9的介质中,靛蓝二磺酸钠被多孔银粒与锌粒组成的原电池电解,形成还原型黄色物质,当与水中溶解氧相遇又被氧化成氧化型蓝色物质,色泽深浅与水中溶解氧含量有关,可以用比色法测定水中溶解氧含量。锅炉给水和凝结水中常见的离子均不干扰溶解氧的测定、/p> 试剂或材斘/strong> 1?水:GB/T6682?008,二级、/p> 2?盐酸溶液?+1、/p> 3?硫酸溶液?+3、/p> 4?氨水溶液?+90、/p> 5?苦味酸溶液:称取在干燥器中已干燥至恒量的苦味酸[C6H2OH?(NO3)3]0.74g,溶于水中,精确?mg,稀释至1L。此溶液黄色色度相当?0μg/mL还原型靛蓝二磺酸钠溶液的色度、/p> 6、氨-硫酸铵缓冲溶液:称取硫酸铵[(NH4)2SO4]20g,加?00mL水,溶解后移?L容量瓶,?0mL氨水,用水稀释至刻度,摇匀备用。移取氨-硫酸铵缓冲溶?#65380;酸性靛蓝二磺酸钠贮备溶液各20mL,于50mL烧杯内混合均匀,用pH计测定其pH值,用硫酸溶液或氨水溶液调节其pH值刚好为9.0,并记录加入的硫酸溶液或氨水溶液的体积。根据记录的加酸或氨水的体积,换算成980mL所需要的体积,在剩余980mL缓冲溶液中加入所需硫酸溶液或氨水溶液,保证以后配制的氨性靛蓝二磺酸钠溶液的pH值等?.0、/p> 7?a href="//www.vuestras.com/weibosol/product_89706.html" target="_blank" style="color:#0000FF;">酸性靛蓝二磺酸钠标准贮备溶?1mL相当?0μgO2):按下列方法配制标定后,用水将酸性靛蓝二磺酸钠溶液稀释成40μg/mL溶液,此即为酸性靛蓝二磺酸钠贮备溶液,使用期约一个月,有沉淀时应弃去、/p> ——配制:称取0.8g~0.9g靛蓝二磺酸钠(C16H8O8S2Na2N2,分子量 M?66.36)?0mL烧杯中,?mL水使其润湿后,加?mL硫酸,在80℃左右的水浴上加?0min,并不时搅拌,使之充分混匀。然后加入少量水,待全部靛蓝二磺酸钠溶解后移?00mL容量瓶中,稀释至刻度,混匀后标定。如有不溶物需过滤后再标定、/p> ——标定:移取酸性靛蓝二磺酸钠溶?0mL,于100mL锥形瓶中,加10mL水,10mL硫酸溶液,用高锰酸钾标准滴定溶液滴定至恰为黄色为止、/p> ——计算:酸性靛蓝二磺酸钠溶液质量浓度以ρ3计,数值以毫克每毫?mg/mL)表示,按?3)计算9/p>
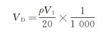
式中9/p> V1——标定时消耗高锰酸钾标准滴定溶液的体积的数值,单位为毫?mL); c ——高锰酸钾标准滴定溶液的浓度的数值,单位为摩尔每?mol/L); M——氧的摩尔质量的数值,单位为克每摩?g/mol)(M =16.00); V ——移取酸性靛蓝二磺酸钠溶液的体积的数值,单位为毫?mL); 1/2 ——靛蓝二磺酸钠与高锰酸钾反应换算成与溶解氧反应的系数、/p> 8、氨性靛蓝二磺酸钠溶液:根据需用量,取?硫酸铵缓冲溶液和酸性靛蓝二磺酸钠贮备溶液等体积混合即可。由于氨性靛蓝二磺酸钠溶液不稳定,该溶液使用时配制、/p> 9、还原型靛蓝二磺酸钠溶液:将?锌还原滴定管上部的水排掉,注入少量氨性靛蓝二磺酸钠溶液洗涤银-锌滴定管,排掉洗涤液,然后将氨性靛蓝二磺酸钠溶液注满滴定管,待溶液由蓝色变为亮黄色,排去滴定管尖部的蓝色溶液,便可使用。如急于使用,可将银-锌滴定管夹于双掌之中,轻轻地搓动,或者,将银-锌滴定管拿在手中上下摇动,也可加快靛蓝二磺酸钠的还原速度。此溶液应使用时配制。原来存放在滴定管内溶液弃去后,加入新溶液制备,使用?h、/p> 10、酸性靛蓝二磺酸钠标准溶液:移取50mL酸性靛蓝二磺酸钠贮备溶液,置于100mL容量瓶中,用水稀释至刻度。此溶液的每毫升相当?0μgO2、/p> 11、高锰酸钾标准滴定溶液:c(1/5 KMnO4)=0.01mol/L。按 GB/T601配制后,稀?0倍、/p> 仪器设备 1、银-锌原电池(电解电池) (1)烧结银粒(多孔银粒)的制夆/p> 称取银粉或沉淀?0g,平铺于100mL瓷蒸发皿中,将表面摊平,银粉厚度?mm左右。将瓷蒸发皿放入620℃高温炉中,烧结?0min,取出冷却后用工具将银块取出,剪成宽10mm,长20mm的银条。将银条放回原蒸发皿内,再在800℃的高温炉中灼烧30min,取出冷却后剪成粒径?mm~5mm的多孔银粒、/p> (2)?锌还原滴定管(?锌还原电?的制夆/p> 取一?0mL酸式滴定管,底部垫上?0mm厚的玻璃纤维,用水灌满滴定管并将管尖的气泡排除。取粒径?mm~10mm锌粒数粒(通常需??,按?mL多孔银粒加一粒锌粒的比例,装填多孔银粒和锌粒,一直装到银-锌还原剂的体积约?0mL为止,最上面再覆?mL多孔银粒。在装填过程中应不时地振动,使银粒和锌粒充分接触,不留气泡、/p> ?锌还原剂的使用期限一般不超过三个月。长时间使用后,银粒颜色发暗,可倒出银锌混合物,剔除锌粒,用盐酸溶液加热将杂质溶解,然后洗去盐酸,将多孔银粒放在瓷蒸发皿内,先在电炉上烘干,再放?00℃高温炉内灼?0min,即能恢复银白色的金属光泽、/p> 2、专用溶解氧测定?溶氧? 实际体积?00mL左右,应为无色透明,每个瓶的容积都相同且瓶塞为通用磨口塞、/p> 3、水封桶 容积?5L~25L,桶应至少比溶氧瓶高150mm、/p> 试验步骤 1、标准色的配刵/p> 由于标准溶解氧不易获得,本方法配制溶解氧标准色是按照“假色原理”配制的。即依照假定还原型靛蓝二磺酸?黄色)与溶解氧完全反应生成氧化型靛蓝二磺酸?蓝色)的数量加入酸性靛蓝二磺酸钠,未反应的还原型靛蓝二磺酸?黄色)用相应苦味酸代替来配制溶解氧标准色、/p> 各标准色所需酸性靛蓝二磺酸钠标准溶液的体积(VD)和苦味酸溶液的体?VK)分别按式(4)??5)计算9/p>
式中9/p> ρ ——标准色所相当的溶解氧的质量浓度的数值,单位为微克每?μg/L); V1——标准色溶液体积的数值,单位为毫?mL); ρmax——最大标准色相当的溶解氧的质量浓度的数值,单位为微克每?μg/L)(ρmax=100); 1.3 ——为保证有过?为理论量?30%)的还原型靛蓝二磺酸钠与溶解氧反应所乘的系数、/p> ?是按?4)??5)计算,配?00mL标准色溶液所需酸性靛蓝二磺酸钠标准溶液和苦味酸溶液的需要量(mL)、/p> 将配制好的溶解氧标准色溶液注入专用溶解氧瓶中,注满后用蜡密封,多余的溶液弃去。此标准色有效期为一周、/p> ? 溶解氧标准色的配刵br/>
2、水样的测定 (1)水样的采雅/p> 由于溶解氧的测定易受空气中氧的影响,所以应现场取样?现场测定。水样按下述方法采集9/p> 将水封桶和专用溶解氧测定瓶预先清洗干净,然后将取样?应使用厚壁胶?插入溶氧瓶底部,水样充满溶氧瓶后将溶氧瓶放入水封桶,使水面超过溶氧瓶,并溢流不少?min,水样流速保?00mL/min~600mL/min,其温度不超?5℃,最好比周围环境温度?℃~3℃、/p> (2)还原型靛蓝二磺酸钠溶液加入量的计箖/p> 测定水样时所需还原型靛蓝二磺酸钠溶液的体积以犞计,数值以毫升(mL)表示,按?6)计算9/p>
式中9/p> V'———现场取样的体积,即为溶氧瓶的容积,单位为毫?mL)、/p> 其余各符号含义与?4)??5)相同、/p> (3)操作方法 水样采集好后,将?锌还原滴定管慢慢插入溶氧瓶内,轻轻地抽出取样管,立即按式(6)计算量加入还原型靛蓝二磺酸钠溶液,轻轻地抽出滴定管,在水下面立即塞紧瓶塞并混匀,放?min。从水封桶内取出溶氧瓶,立即在自然光或日光灯下,以白色背景与标准色进行比较,水样颜色与标准色相一?或接?的标准色相当溶解氧的质量浓度即为水样溶解氧的质量浓度、/p> |
产品分类
|
|||||||||||||||||||||||||||||||||||||||||||||||||||||||||||



…………………………………?3)
………………………?4)
………………………?5)
………………………?6)