甲基丙烯酸缩水甘油酯(Glycidyl Methacrylate,缩写GMA)是一个同时具有丙烯酸酯双键和环氧基团的单体。丙烯酸酯双键的反应活性较高,可以进行发生自聚反应,也可以和很多其他单体进行共聚反应;而环氧基团则可以和羟基、氨基、羧基或酸酐发生反应,引入更多的官能团,从而对产品带来更多的功能性。因此GMA在有机合成、高分子合成、聚合物改性、复合材料、紫外光固化材料、涂料、粘合剂、皮革、化纤造纸和印染等等诸多方面有着极其广泛的应用、/span>
甲基丙烯酸缩水甘油酯(GMA)的分子式

GMA的理化性质
GMA的CAS号是106-91-2,分子量142.15,密?.068@25oC,粘?.7cps@15.5℃,沸点189℃,闪点85℃,折射?.4473。常温下为无色透明低粘度液体,可溶于常见有机溶剂,不溶于水。由于生产过程中会使用的环氧氯丙烷,通常产品中会有少量的环氧氯丙烷残留、/span>
GMA带有丙烯酸酯的典型味道,具有一定的皮肤和眼睛接触的刺激性。液体和气体均可燃。在温度较高时可能发生聚合反应,因此必须添加阻聚剂、/span>
GMA的合戏/strong>
GMA的合成通常采用相转移的一步法,或者酯化闭环的两步法、/span>
一步法(相转移法)9/strong>
一步法的操作简单,反应时间短,但要求整个反应体系无水,对钠盐的纯度要求很高,并存在环氧氯丙烷用量过多,后续处理繁杂的缺点。美国陶氏公司和国内润奥化工等大多数公司所使用的是一步法工艺。一步法是首先将甲基丙烯酸和氢氧化钠或碳酸钠在有机溶剂中进行酸碱中和反应制得甲基丙烯酸钠,干燥后在相转移催化剂存在的情况下,再和环氧氯丙烷按一定比例经脱水、高温下反应,减压蒸馏和水洗后得到GMA产品、/span>

两步?酯化闭环?9/strong>
两步法是在开环催化剂作用下,首先将甲基丙烯酸和环氧氯丙烷进行开环酯化反应,生成甲基丙烯?2-羟基-3-氯丙酯。然后再将甲基丙烯酸-2-羟基-3-氯丙酯在氢氧化钠固体或水溶液存在的情况下进行脱氯化氢的闭环反应,或者在碳酸钾的丙酮溶液中进行回流来得到产品、/span>
第一?/span>

第二?/span>

另外还有催化酯交换法、脂肪酶催化合成法、选择性环氧化法和环氧基转移反应法等方法、/span>

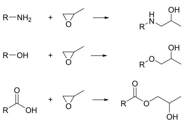
? 环氧基团和胺基、羧基、羟基的反应示意国/span>
GMA在粉末涂料中的应?/strong>
丙烯酸粉末涂料是粉末涂料中的一大类,根据其所用的固化剂不同可分为:羟基型丙烯酸树脂,羧基型丙烯酸树脂,缩水甘油基丙烯酸树脂,酰氨基丙烯酸树脂。其中缩水甘油基丙烯酸树脂是用得最多的粉末涂料树脂,可以用多元羟酸、多元胺,多元醇、多元羟基树脂,羟基聚酯树脂等固化剂成膜、/span>
通常采用甲基丙烯酸甲酯、甲基丙烯酸缩水甘油酯、丙烯酸丁酯、苯乙烯进行自由基聚合合成GMA型丙烯酸树脂,用十二烷基二元酸作为固化剂,所制备的丙烯酸粉末涂料具有良好的性能。合成过程可以用过氧化苯甲酰(BPO)和偶氮二异丁?AIBN)或其混合物作为引发剂。GMA用量对涂膜性能的影响是非常大的。如果用量太少,树脂的交联度低,固化交联点少,涂膜的交联密度不够,涂膜的耐冲击性差、/span>
GMA在聚合物改性中的应?/strong>
GMA由于存在一个具有活性较高的丙烯酸酯双键,可以接枝到聚合物上面,而GMA所带有的环氧基团可以和多种其他官能团反应,从而形成功能化的聚合物。可以采用溶液接枝、熔融接枝、固相接枝、辐照接枝等方法将GMA接枝改性聚烯烃,也可以与乙烯、丙烯酸酯等形成功能化共聚物。这些功能化聚合物可以作为增韧剂来增韧工程塑料或作为增容剂提高共混体系的相容性、/span>
GMA对聚烯烃接枝改性常用的引发剂是过氧化二异丙?DCP),也有人采用过氧化苯甲酰(BPO)、丙烯酰?AM)?,5-二叔丁基过氧?2,5-二甲?3-己炔(LPO)?,3-二叔丁基过氧化异丙苯等引发剂。其中AM作引发剂时对减小聚丙烯的降解具明显作用。聚烯烃接枝GMA后会导致聚烯烃结构的变化,从而引起聚烯烃的表面性能、流变性能、热性能、力学性能的改变。GMA接枝改性聚烯烃提高了分子链的极?同时也提高了表面极性,因此,表面接触角随着接枝率的提高而减小。由于GMA改性之后对聚合物结构的改变,同时也会影响其结晶性能和力学性能、/span>
GMA在树脂共聚合成中的应?/strong>
阿科玛公司的LOTADER系列产品,就是乙烯、丙烯酸酯和GMA的无规共聚产品,其中GMA含量最高达8%。其对于聚烯烃类产品具有很好的相容性,并对多种聚合物、金属、纸张和玻璃等有很好的结合力、/span>
| Grades | Reactive group | Co-monomer (%) |
Typical Properties | |||
| Reactive group(%) |
Melt index (g/10 min) (190?2.16kg) |
Melting point (? |
Vicat softening temp.(? |
|||
| AX8700 | GMA Expoxide group |
BA(25%) | 8 | 9 | 72 | - |
| AX8750 | BA(25%) | 5 | 12 | 72 | - | |
| AX8820 | - | 4.5 | 2 | 107 | 88 | |
| AX8840 | - | 8 | 5 | 106 | 87 | |
| AX8900 | MA(24%) | 8 | 6 | 65 | <40 | |
| AX8930 | MA(25%) | 3 | 7 | 67 | <40 | |
GMA和苯乙烯、丙烯腈的三元共聚物,则可以用于PA、PC、PBT、PET等回收材料的扩链剂,PC/ABS、PA/ABS、PBT/ABS等合金的消光剂,以及ABS/PBT、ABS/PET、PC/ABS等合金的相容剂、/span>
GMA在UV固化树脂合成中的应用
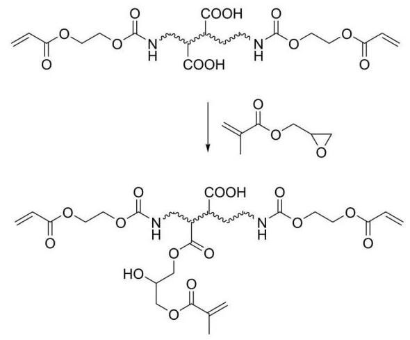
GMA可以通过多种合成路线用于UV光固化树脂合成。一种方法是首先通过自由基聚合或缩合聚合,得到在侧链上含有羧基或氨基的预聚体,然后再用GMA和这些官能基反应,引入感光基团从而得到光固化树脂。在第一步共聚时,可以采用不同的共聚单体,从而得到最终性能各异的聚合物。冯宗财等人采用1,2,4-偏苯三酸酐和乙二醇反应合成超支化聚合物,再通过GMA引入感光基团,最终得到较好碱溶性的光固化树脂。陆挺峰等人采用以聚己二?1,4-丁二醇酯、甲苯二异氰酸酯、二羟甲基丙酸和丙烯酸羟乙酯先合成具有感光活性双键的预聚物,再通过GMA引入更多的可光固化双键,经三乙胺中和,得到水性聚氨酯丙烯酸酯乳液、/span>

? 光固化水性聚氨酯乳液的合成的线路国/span>
另一种方法,是首先将GMA和其他单体进行共聚,得到侧链含有环氧官能基的共聚物,然后再通过丙烯酸或甲基丙烯酸同环氧官能基反应,从而得到具有光固化活性的树脂产品、/span>
GMA在紫外固化粉末涂料中的应?/strong>
紫外固化粉末涂料是将UV固化技术和传统的粉末涂料固化技术相结合的新技术,它结合了UV固化和粉末涂料的优点,被广泛用于中密度纤维板(MDF)和金属等材料的涂装中、/span>
紫外固化粉末涂料可以首先合成羧基型聚酯,然后再通过GMA和端羧基反应,生产具有感光基团的紫外固化粉末涂料。熊伟等人采用对二羟甲基环己烷和己二酸通过酯化反应生成端羧基聚酯树脂,周诗彪等人采用甲基丙烯酸甲酯、丙烯酸乙酯和丙烯酯丁酯自由基共聚得到含羧基的预聚物。这些预聚物再和GMA反应引入光活性基团、/span>

? 光固化粉末涂料树脂的合成路线
GMA在大孔聚合物中的应用
以GMA为单体,二乙烯苯(DVB)?或三烯丙基异氰脲酸酯(TAIC)作为交联剂,采用甲苯和正庚烷等作为致孔剂,通过悬浮聚合,可以合成大孔共聚物、/span>
由于该大孔聚合物带有活性环氧基,易于进行化学修饰,从而固载配体制备出各种吸附剂。如固载多粘菌素,可治疗高脂血症,固载鸟氨酸可治疗系统性红斑狼疮等。大孔聚合物也可与甘露醇进行功能基化反应 获得带有多羟基的吸附剂、/span>
GMA除了上述的应用以外,还可以用于粘合剂、UV压敏胶、汽车涂料、水性涂料等的应用。总体来说,由于甲基丙烯酸缩水甘油?GMA)本身带有丙烯酸酯双键和环氧基团,这使得其应用范围十分广泛、/span>