
噻吩是一种无色、有恶臭、能催泪的液体,天然存在于石油中,含量可高达数个百分点,主要用于医药合成以及染料、树脂、农药和香料的合成等方面。目前国内噻吩的需求主要集中在医药中间体的生产上,本文将对主要的噻吩类衍生物在医药领域的应用进行介绍。
一、用于合成头孢类广谱抗菌类药物
2-噻吩乙酸和2-噻吩乙酰氯是重要的有机中间体,广泛应用于医药和农药的生产,例如合成广谱抗菌药头孢噻吩、头孢噻啶和头孢西丁等。
2-噻吩乙酸主要有两种生产工艺:乙酰噻吩酸化法和噻吩醋酐乙酰化法。李贵杰等【2-噻吩乙酸的合成[J].合成化学,2004,12(4):394-396】以噻吩为原料,经乙酰基反应、氧化重排生成2-噻吩乙酸甲酯,经水解得2-噻吩乙酸,总收率达53.0%;张洪林等【由噻吩合成2-噻吩乙酸的方法[P]. CN100484932C,2009-05-06】将乙醛酸脱水后,在酸性介质中与噻吩和赤鳞混合,在非质子酸催化剂作用下得到2-噻吩乙酸,最大产率达53.2%;郭海昌等【2-噻吩乙酸的合成[J].中国医药工业杂志,2004,35(4):201-202】是以噻吩为原料,经氯甲基化、氰化反应得到2-噻吩乙腈,再经水解得到2-噻吩乙酸,总收率53%。
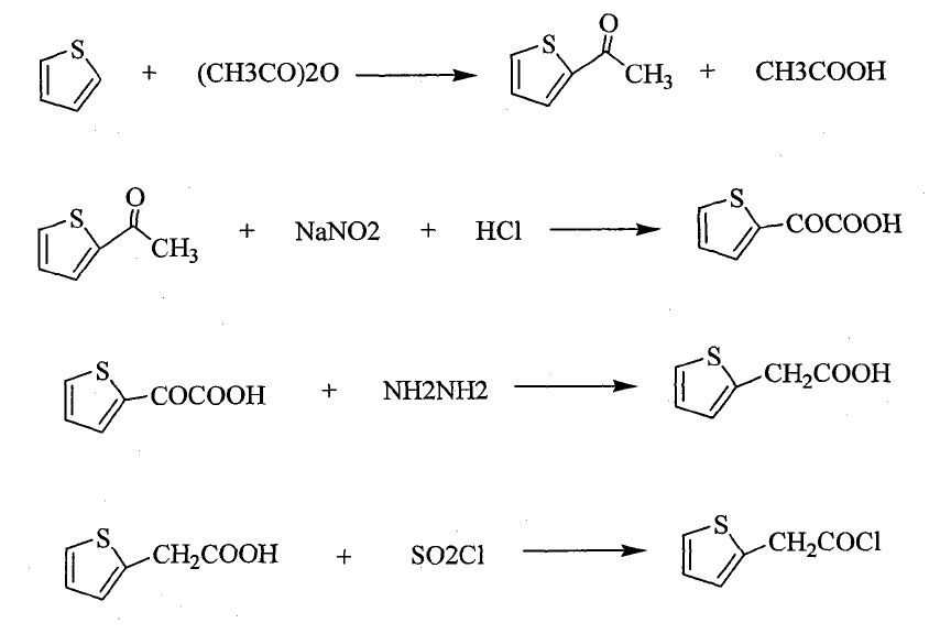
2-噻吩乙酰氯由2-噻吩乙酸与氯化亚砜经反应、减压蒸馏制得。基本流程包括以下几步:
(1) 噻吩在催化剂存在下乙酰化得到2-乙酰噻吩;
(2) 2-乙酰噻吩在催化剂存在下与亚硝酸钠和盐酸作用得到2-噻吩乙醛酸;
(3) 2-噻吩乙醛酸用水合肼还原得到2-噻吩乙酸;
(4) 2-噻吩乙酸酰氯化得到2-噻吩乙酰氯。
各方法的主要区别在于第四步中所用溶剂,目前,以二氯甲烷为最优溶剂,不仅反应温和,而且可以洗脱重复利用。

但是由于氯化反应体系为酸性体系,2-噻吩乙酸及2-噻吩乙酰氯中的噻吩环易氧化,使反应液发黑,而且蒸馏得到的半岛bd体育手机客户端 2-噻吩乙酰氯也不能久置,只能随制随用,这给2-噻吩乙酰氯的生产和销售都带来了巨大的困难。为改善这些缺点,研究人员不断对合成工艺进行改进,通过采用不同的溶剂,取得了很大的进展。
1、四氯乙烯做溶剂
将2-噻吩乙酸用适量四氯乙烯加热溶解,之后滴加氯化亚砜进行反应,反应温度为40~90℃,反应结束后脱溶,真空蒸馏,收集118~120℃/8mmHg馏分,即得2-噻吩乙酰氯成品。
2、四氯化碳作溶剂
以2-噻吩乙酸为原料,四氯化碳为溶剂,在还原剂无水亚硫酸氢钠及助溶剂N,N-二甲基甲酰胺存在下反应,控制反应体系的温度为20~50℃,滴加氯化亚砜,在该温度反应2~5h,最后抽滤,脱溶,得到产物2-噻吩乙酰氯。
3、二氯甲烷作溶剂
将2-噻吩乙酸溶于二氯甲烷中,在氮气的保护下,加热到35~38℃时,保持体系微沸的状态下,滴加氯化亚砜,滴加完毕后保温2~3h;最后抽滤、脱溶、减压蒸馏得到产物2-噻吩乙酰氯。
四氯乙烯、四氯化碳和二氯甲烷作溶剂的方法克服了此前2-噻吩乙酰氯制备过程中反应液发黑的缺点,而且原料易得、操作简便、收率高、半岛bd体育手机客户端 纯度高,并能长期存放,适合工业化生产。其中以二氯甲烷作溶剂为最优,二氯甲烷沸点较低,脱溶容易,不影响半岛bd体育手机客户端 含量;保持合适的反应温度,可以使反应产生的SO2及HCl随二氯甲烷挥发,从而可使反应充分,提高反应收率;二氯甲烷挥发之后经过冷盐水冷却,水洗后可以重复利用;反应条件温和,催化剂用量少,工艺简单,具有明显的经济效益和环境效益,有利于工业化生产。
二、合成血小板及血栓相关的心血管疾病药物
2-噻吩乙醇和2-噻吩乙胺可用于多种药物的合成,是多种与血小板及血栓有关的心脏血管病及消炎镇痛等新药的前体原料,是制备噻吩并吡啶类化合物的关键中间体,噻吩并吡啶的衍生物氯毗格雷和噻氯吡啶作为抗血小板药物可用于冠心病的治疗和预防。
2-噻吩乙醇的合成方法主要有丁基锂工艺、格氏试剂工艺、钠试剂工艺和酯还原工艺。其中前三种路线都是以噻吩为原料,经不同的步骤得到噻吩的金属化合物,最后与环氧乙烷反应,水解得到半岛bd体育手机客户端 2-噻吩乙醇。
2-噻吩乙胺的合成路线有三条:噻吩经过甲酰化后与硝基甲烷缩合经乙硼烷还原制得终产物;以噻吩为原料经过Vilsmeier反应后,与氯乙酸异丙酯进行Darzens反应,然后对产物2-噻吩乙醛进行还原得到半岛bd体育手机客户端 ;噻吩与甲醛和氯化氢反应得到2-氯甲基噻吩,再经过取代和LiAlH4还原得到半岛bd体育手机客户端 。
三、风湿性关节炎以及阵痛药物
2-(2-噻吩基)丙酸是合成噻洛芬酸的重要中间体,噻洛芬酸主要用于治疗风湿性关节炎、关节僵硬、术后疼痛等。
合成2-(2-噻吩基)丙酸方法通常有三种:
(1) 由乙酰噻吩经Darzens反应制得;
(2) 由1-(2-噻吩基)-2溴-1-丙酮为原料制得;
(3) 丙酰噻吩在过氧化苯甲酰、碘、原甲酸三甲酯存在下重排制得。
对比三种方法,方法1反应条件苛刻,重现性不好,且收率较低;方法2中1-(2-噻吩基)-2溴-1-丙酮制备复杂,反应步骤较多;方法3所需丙酰噻吩合成容易,收率较高,但需使用过氧化苯甲酰。
噻吩衍生物是有机化学工业和医药工业极具发展潜力的半岛bd体育手机客户端
和中间体,近年来,随着国内医药工业的快速发展,噻吩衍生物的需求量逐年增加,质量要求也越来越高。因此,大力开展噻吩衍生物的开发和应用研究,推动国内医药工业的健康、高速发展。具有十分重要的现实意义。
以下为我公司可以提供的噻吩衍生物列表,点击半岛bd体育手机客户端
编号可浏览半岛bd体育手机客户端
详细信息:
| 半岛bd体育手机客户端 编号 | CAS编号 | 半岛bd体育手机客户端 名称 | 半岛bd体育手机客户端 规格 |
| 3001400 | 30433-91-1 | 2-(2-氨乙基)噻吩 | >98.0%(GC) |
| 3023190 | 1918-77-0 | 噻吩-2-乙酸 | >95.0%(GC)(T) |
| 3023789 | 5402-55-1 | 2-噻吩乙醇 | >98.0%(GC) |
| 3024430 | 39098-97-0 | 噻吩-2-乙酰氯 | >98.0%(GC)(T) |
| 3060826 | 1918-77-0 | 噻吩-2-乙酸 | 98% |
| 3060831 | 39098-97-0 | 2-噻酚乙酰氯 | 98% |
| 3060853 | 5402-55-1 | 2-(2-噻吩基)乙醇 | 98% |
| 3060855 | 30433-91-1 | 噻吩-2-乙胺 | 98% |
| 3282631 | 1918-77-0 | 2-噻吩乙酸 | 98% |
| 3282633 | 39098-97-0 | 2-噻吩乙酰氯 | 98% |
| 3282649 | 5402-55-1 | 2-噻吩乙醇 | 98% |
| 3282650 | 30433-91-1 | 2-噻吩乙胺 | 96% |
| 3453973 | 1918-77-0 | 2-噻吩乙酸 | 97+% |
| 3454268 | 5402-55-1 | 2-噻吩乙醇 | 97+% |
| 3455838 | 30433-91-1 | 2-噻吩乙胺 | 98% |




