立方烷,分子式:C8H8,分子量:104.15。是一种人工合成的烷烃,又称为五环辛烷,外观为有光泽的晶体。八个碳原子对称地排列在立方体的八个角上。此烷烃属于柏拉图烃的一种。立方烷于1964年由芝加哥大学的Dr. Philip Eaton与Thomas W. Cole首先合成。在他们合成出立方烷之前,人们曾一度认为其不可合成,因为碳碳键的键角均为90度,张力过大而不稳定。不过当此物质被合成出以后,人们发现它在动力学上很稳定。立方烷生成热、密度等均很大,因而备受瞩目。
1、合成线路
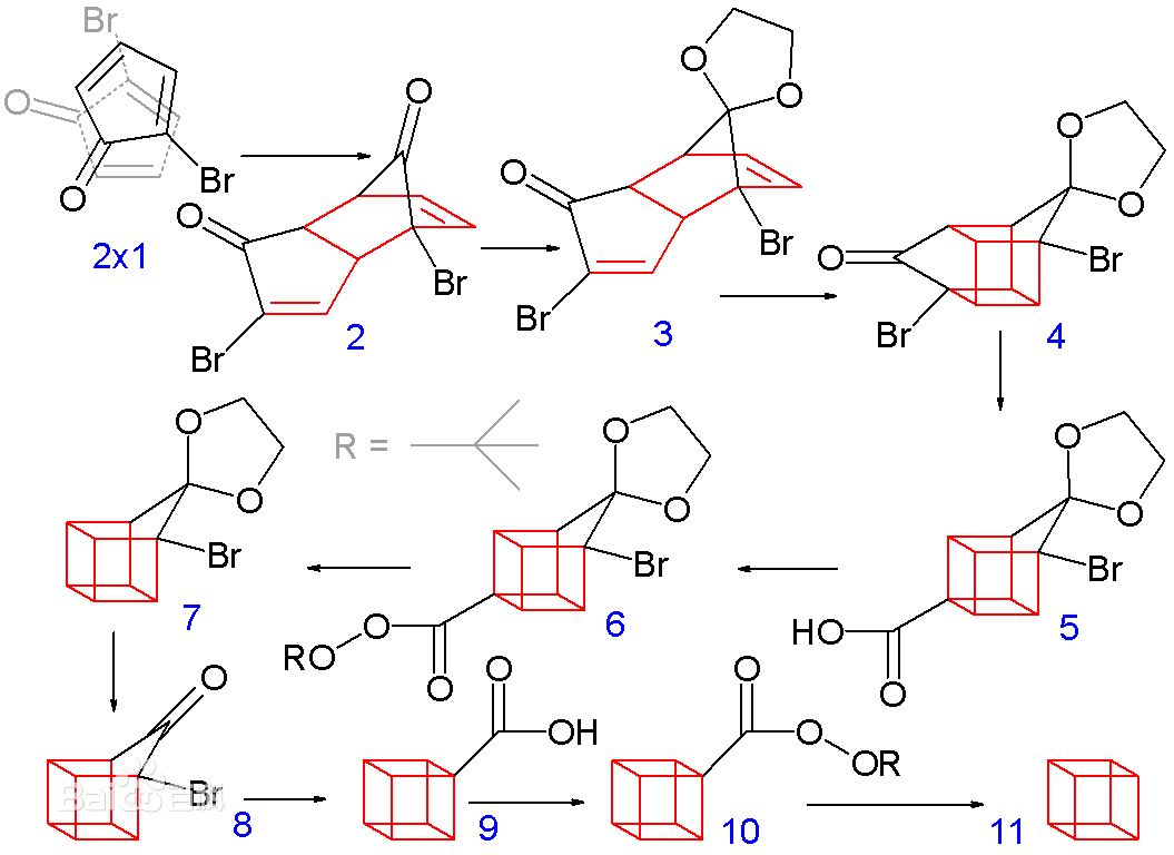
1964年的立方烷有机合成比较经典,其起始原料是2-环戊烯酮(即第一部分中的化合物1.1):
第一部分:合成立方烷的前体2-溴代环戊二烯酮

在溶剂四氯化碳中,N-溴代丁二酰亚胺上的溴原子取代了2-环戊烯酮烯丙位上的氢,生成化合物1.2,然后在正戊烷-二氯甲烷混合溶剂中将其进一步溴化得到三溴代物1.3,后者再在乙醚中被二甲胺消除两分子溴化氢便可得到2-溴代环戊二烯酮1.4。
第二部分:合成立方烷

在第二部分中,2.1首先自发地二聚为2.2,这是一个迪尔斯-阿尔德反应,与环戊二烯二聚为双环戊二烯较为相似。因为每个溴原子都需要与另一溴原子以及羰基保持最小的位阻,另外生成内型产物的过渡态中有次级轨道作用,所以这步反应只生成内型产物,这是后续步骤成功的前提。接着在溶剂苯中,用对甲苯磺酸催化,以乙二醇保护两个羰基,使其成为缩酮。其中一个被保护的羰基在盐酸水溶液的作用下会被选择性去保护,而得到2.3。
在下一步中,内型产物2.3(两个碳碳双键较为接近)通过光化学[2+2]环加成反应形成了笼状化合物2.4。在氢氧化钾的作用下,α-溴代酮通过法沃斯基重排而缩环,转变为羧酸2.5。随后,在氯化亚砜的作用下将羧基转为酰氯,后者与过氧化叔丁醇反应,在吡啶中生成了叔丁基过氧酯2.6。将2.6加热后可进行脱羧反应变为2.7。同样地,将另一个羰基去保护,得到2.8,然后以相同的手法通过法沃斯基重排得到2.9,再脱羧得到2.10与2.11,最后在甲醇溶液中析出结晶而得到半岛bd体育手机客户端 。
2、新型苯环生物电子等排体
生物电子等排原理是将化合物结构中的某些原子或基团,用其外层电子总数相同或(等价)或者化学反应性和氢键形成能力等重要参数相似性的原子或基团进行替换,从而产生的新化合物。
立方烷是苯环的生物电子等排体而应用于药物研发。其非平面结构性可以使药物的溶解性增加, 并且立方烷稳定的sp3 C-H键可以使药物在代谢中具有更好的稳定性。已有研究显示一些医药化合物的苯环立方烷衍生物药理活性更高。