催化剂及助剂 >> 水处理剂
氨基三甲叉膦酷/div>
产品介绍
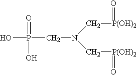
产品结构 9/strong>
一、性能与用途: ATMP用于火力发电厂、炼油厂的循环冷却水、油田回注水系统。可以起到减少金属设备或管路腐蚀和结垢的作用。ATMP在纺织印染等行业用作金属离子螯合剂,也可用于金属表面处理剂等、/span> ATMP固体为结晶性粉末,易溶于水,易吸潮,易于运输和使用,尤其适用于冬季严寒地区、/span> 二、技术指栆/strong>
三、使用方泔br/>ATMP常与其它有机膦酸、聚羧酸或盐等复配成有机水处理剂,用于各种不同水质条件下的循环冷却水系统。用量以1?0mg/L为佳;作缓蚀剂使用时,用量为20?0mg/L、/span> 四、包装与贮存 五、安全防抣br/>ATMP为酸性,操作时注意劳动保护,应避免与皮肤、眼睛等接触,接触后应立即用大量清水冲洗、/span>
|
相关产品
|
||||||||||||||||||||||||||||||||||||||||||||||||||||||||



