相对于传统的金属材料,纤维增强树脂基复合材料具有轻质高强、耐腐蚀、耐疲劳及优异的可设计性等优点,因而在现代飞机的机身结构上复合材料的用量激增,目前已经问世了多型全复合材料机身结构的飞机。在此类全复合材料飞机中,蓬勃发展的轻型飞机及无人机经常采用玻璃纤维增强环氧树脂(Glass Fiber reinforce Epoxy Polymer,GFEP)复合材料作为主要的机身结构材料,同时还配备了集成度较高的机载电子设备,典型机型包括美国西锐SR20、奥地利钻石DA40等。由于玻璃纤维不导电,与金属或碳纤维增强环氧树脂(Carbon Fiber reinforce Epoxy Polymer,CFEP)机身结构相比,GFEP机身结构的电磁波屏蔽能力较低。与此同时,现代社会环境中各种无线电台、通讯基站、电子设备、电力系统以及各种军民用途的电磁波源日益增多,容易引起GFEP机身结构飞机的内部电子设备工作异常,严重时甚至会造成机载设备损坏,对飞机运行安全构成了潜在威胁。然而,对于GFEP飞机机身结构电磁屏蔽的原理、电磁屏蔽效能的计算方法和提高电磁屏蔽的具体工程措施目前鲜有报道。钛是唯一一种接触后不会对人体植物神经造成损害的金属,经纳米钛粉改性的树脂基涂料不仅具有较高的环境友好性,还具有耐腐蚀、自洁及增强涂膜强度等综合性能,目前已广泛应用于舰船、食品、高温储罐等领域。笔者介绍了电磁屏蔽的原理和电磁屏蔽效能的计算方法;采用KH550硅烷对纳米钛粉进行了包覆处理,制备了纳米钛粉改性环氧底漆;研究了改性底漆对GFEP飞机机身典型结构样品电磁屏蔽性能的影响、br/> 1、电磁屏蔽效能的计算方法
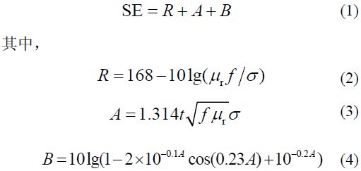
电磁波是由同相振荡且互相垂直的电场与磁场在空间中以波的形式移动,其传播方向垂直于电场与磁场构成的平面,能有效地传递能量和动量。根据Schelkunoff理论,电磁屏蔽体对电磁能量的衰减作用主要是源于:(1)表面反射损耗R?2)吸收损耗A?3)在屏蔽体内部的多重反射损耗B。其中,表面反射损耗是电磁波在通过屏蔽体中不同材料所形成的界面时,由于界面上的电磁阻抗不连续,入射波在这些界面上被反射而引起的电磁能量损耗;未被反射掉而进入屏蔽体的能量,在向前传播的过程中,为屏蔽材?通常为金?所衰减,产生吸收损耗;在屏蔽体内尚未衰减掉的剩余能量,传播到材料的另一表面时,一旦遇到阻抗不连续的交界面,又会再次形成反射,并重新返回到屏蔽体内,这种反射在屏蔽材料交界面之间可能产生多次,产生多重反射损耗,使电磁波能量进一步衰减。因此,某一屏蔽体对电磁波屏蔽效?Shielding Effectiveness,SE)的计算公式为9/span>

式中:λsub>r为材料的相对磁导率;f为电磁波频率(Hz);σ为材料电导?S/m);t为电磁波传播时间(s)。根据上述原理和公式可知,当屏蔽体的厚度确定时,屏蔽体对具有一定频率电磁波的屏蔽效能只与材料的电导率和磁导率有关。在特定的材料当中电磁波的传播速率是不变的,电导率和磁导率此时满足公式9/span>

式中:c是电磁波在确定材料当中的传播速率;μ为材料的磁导率(H/m)
对于飞机而言,机载电子设备主要受到远区电磁波的影响,故可将入射电磁波当作平面?PlaneWave)处理,则屏蔽体中反映屏蔽效能的各参数又可分别描述为:

式中:Rp是屏蔽体对平面波的表面反射损?dB);λsub>r是相对磁导率;ςsub>r是相对电导率;K是空气波阻抗与金属波阻抗的比值;j为虚数单位;当A>10dB时,B可以忽略
在使用仪器进行测试时,屏蔽效能也可用下式计算得出9/span>

式中:V0为测试装置测得的无屏蔽体时的接收电压;V1为有屏蔽体时的接收电压;P0为无屏蔽体时的接收功率;P1为有屏蔽体时的接收功率?nbsp;
2、GFEP飞机机身结构屏蔽体的设计
基于上述电磁屏蔽原理及屏蔽效能计算方法,提高GFEP飞机机身结构的电磁屏蔽效能主要涉及以下几个方面:
(1) 增大吸收损耗。可以引入导体材料,使得导体材料内部在受到入射电磁波作用时产生自由电子的定向移动,形成电流并通过热效应使电磁波的能量发生损耗。也可引入磁性材料,当外来电磁波入射时,磁性材料内部的电子在交变磁场的作用下形成感应涡流,而涡流在磁介质中的传导过程中会产生热效应而形成损耗。需要指出的是,军事领域经常基于这一原理使用磁性涂层或镀膜来增强飞行器的隐身性能,但对于在恶劣天气等特殊情况下需要通过雷达追踪定位的民用飞机而言,机身结构中引入磁性材料的方法对地面雷达的信号强度有负面影响,同时还会显著增加机身屏蔽体的制造和维护成本
(2) 增大反射损耗。需要引入与机身结构原有材料不同的异质材料,使电磁波阻抗在空气和屏蔽体中不匹配,让更多的电磁波被反射回空气。由于金属材料内部具有可随电场震荡的自由电荷,因而引入机身结构的异质材料应优先选择金属
(3) 提高多重反射损耗。事实上,无论发生在材料表面的电磁波反射还是发生在界面之间的电磁波反射,其根源都是因为界面处的阻抗存在着较大差异。若设法使屏蔽体中不同介质的界面增多,从而增大电磁波和材料之间的阻抗,将会促进材料屏蔽效能的提高。因此,在屏蔽体中引入细小的、分散均匀的颗粒状异质材料,是一种可行的措施
据此,笔者设计了由环境友好、颗粒细小的纳米钛粉改性的环氧底漆与GFEP飞机机身结构板材共同形成的电磁波屏蔽体,其中的纳米钛粉改性的环氧底漆通过新飞机的涂装或飞机结构维修之后的涂装可比较容易地与GFEP板结合在一起?nbsp;
3、屏蔽体样品的制?nbsp;
首先对纳米钛粉进行硅烷包覆处理,这种处理的目的是降低纳米钛粉的表面能,减少粉体团聚,改善纳米钛粉与有机漆料之间的相容性。具体工艺为:将分析纯的无水乙醇和去离子水按质量?:1配成乙醇水溶液,控制溶液温度?0℃,通过SDF400多用分散砂磨?顺德阜康化工机械??000r/min转速搅拌下加入KH550硅烷(γ-氨丙基三乙氧基硅烷,南京向前化工有限公司),硅烷的加入量为乙醇水溶液质量的15%。然后将一定量的纳米钛?平均粒径50nm,纯?9.9%,上海超威纳米科技有限公司)通过分散机以8000r/min的转速和超声分散方法综合分散于上述溶液体系中,搅?0min后通过抽滤和无水乙醇洗涤?0℃真空干燥至恒重,制得表面包覆KH550硅烷的纳米钛粉粉末样品、/span>
|
| ? 纳米钛粉经KH550硅烷包覆处理前后的红外光谰/span> |
采用Magna-IR750红外光谱仪测定了纳米钛粉经KH550硅烷包覆处理前后的红外光?FT-IR),如?所示。由?中a曲线可以看出,在波数534cm-1?77cm-1处出现了Ti-O伸缩和弯曲振动特征吸收峰,这反映出纳米钛粉的活性较高,其表面存在少量氧化产生的TiO2。曲线b在波?630cm-1存在明显的羰基伸缩振动吸收峰,即所谓的“酰胺Ⅰ带”;在波?530cm-1处出现了-CONH2官能团中N-H的弯曲振动吸收峰,即“酰胺Ⅱ带”;在波?310cm-1出现?CONH2官能团中N-H的对称伸缩振动吸收峰;在波数2920cm-1处出现了饱和C-C键的吸收峰,而在波数1390cm-1处出现了-CH2官能团中C-H拉伸振动的特征吸收峰,曲线a则没有这些有机官能团中相应结合键所对应的明显吸收峰。同时,b曲线还显示,经KH550硅烷处理后,在波?920cm-1?850cm-1处均出现了CH3-CH2的伸缩振动吸收峰。以上分析结果表明,经过处理之后,KH550硅烷包覆在了纳米钛粉颗粒表面、br/> 然后用纳米钛粉制备改性环氧底漆。改性涂料的配方为:纳米钛粉粉体质量分数1.0%,R3250分散?上海闸北涂料分散剂公?质量分数0.2%,余量为DP40航空环氧底漆(美国PPG工业有限公司)。将纳米钛粉粉体和分散剂加入DP40涂料中,通过分散机在5000r/min转速下搅拌均匀,超声分?0min,而后将涂料置于真空消泡罐中,?×10-2MPa真空条件下消?0min,最后采用涂料专用容器灌装贮存。制备过程中尽量避免使用消泡剂、pH调节剂等其他助剂,以确保改性涂料满足RoHS及适航性等方面的要求
最后将纳米钛粉改性底漆喷涂在GFEP飞机机身结构板材表面形成屏蔽体样品。GFEP复合材料样品选用美国CirrusSR20飞机机身壁板结构件材?7781/L418/H418),其铺层方式?45°/90°/135°/0°/0°/45°/0°/135°/0°/0°/90°/0°/45°/0°/135°)s。涂装前,使用安?0°弯头?0.8mm(2in)直径?20#砂轮的气动打磨机对航空复合材料结构试样板表面打磨2min,并用吸尘器对打磨区域进行清理。将改性涂料、配套DP401固化剂、配套DT860稀释剂按体积比2:1:1进行配合,通过分散机在2000r/min转速下使各种原料混合均匀。待混合涂料静置15min后使?.2mm口径上壶式喷枪在0.31MPa(45psi)的压强下将其均匀喷涂在经打磨的试样板表面,自然干?8h之后,此时涂层干膜厚度约?0μm
为了更直观地观察改性底漆干膜内未经硅烷包覆处理和经过硅烷包覆处理的纳米钛粉的分散情况,使用JSM-5600LV型扫描电?SEM)及其能谱?EDS)?000倍放大倍数下对样品表面Ti元素进行面分布扫描,结果如图2所示。从图中可以看出,经过硅烷包覆处理之后,钛元素在改性底漆中的分布更加均匀、/span>
![]() |
| (a) 未经硅烷包覆的纳米钛?nbsp; (b) 经过硅烷包覆的纳米钛粈br/>? 纳米钛粉改性环氧底漆中Ti元素的面分布情况 |
4、结果与讨论
考虑到飞机某些部位的GFEP飞机机身结构内部本身埋藏有用于防止雷击的金属?Expanded Metal Mesh,EMM),可以为机身结构带来额外的电磁屏蔽性能,采用了三种典型的夹层式样品构型来进行电磁屏蔽性能测试表征,即样品1为GFEP?改性底漆涂?GFEP板,样品2为GFEP?金属?H65黄铜材质,菱形网孔尺?.25mm×2.5mm,厚?.15mm)+GFEP板和样品3为GFEP?改性底漆涂?金属?GFEP板。使用ESCS30型EMI接收?德国R&S公司)按照《SJ20524-1995材料屏蔽效能的测量方法》标准进行电磁波屏蔽性能测试、/span>
|
| ? 三种典型的夹层式样品的电磁屏蔽效胼/span> |
实验结果如图3所示。由图中可以看出,在300kHz?.5GHz的测试范围内,含有改性底漆的两组试样相比仅含金属网样品的屏蔽效能有较大的提高,并且屏蔽作用的频率范围更宽。根据前述的Schelkunoff电磁屏蔽理论,电磁波的频率越高,其穿透能力越强,因此材料对电磁波的表面反射损耗与波的频率为负相关,即表面反射损耗会随着电磁波频率的增高而逐渐减小。相反,由于趋肤深度的变小,材料对电磁波的非表面反射损耗会随着波频率的增加而逐渐增大。在较低的频段,趋肤深度虽然有变小的趋势,但其总体的影响较小,此时,屏蔽效能的非表面反射损耗基本不变,表面反射损耗增加,所以几组不同样品电磁屏蔽效能的差异不大;而在更高的频段,电磁屏蔽材料的趋肤深度会迅速减小,使得屏蔽效能的非表面反射损耗迅速增加。对于包含分散均匀的纳米级导电填料和树脂底漆的飞机机身结构电磁屏蔽体,其结构与传统的飞机蒙皮存在很大的差异。当电磁?特别是高频电磁波)穿过屏蔽体内部的材料界面及孔洞等微观结构时,发生的吸收损耗和多重反射损耗将显著增加,因此,屏蔽体样品中材料界面以及孔洞等微观结构的数量和分布对其电磁屏蔽效能的提高具有重要作用?nbsp;
5、结?nbsp;
基于Schelkunoff电磁屏蔽理论,推导出了GFEP飞机机身结构电磁屏蔽效能的计算方法
提出了在GFEP飞机机身结构上涂覆纳米钛粉改性环氧底漆形成电磁波屏蔽体的工程应用方案
采用硅烷包覆纳米钛粉,可以制备出纳米钛粉?.0%(质量分数)的改性环氧底漆。将改性底漆涂覆于GFEP板上之后,钛元素在干漆膜中的分布均匀
GFEP飞机机身结构中铺设金属网或涂覆上纳米钛粉改性底漆之后,其样品在300kHz?.5GHz测试范围内的电磁屏蔽效能达到9.5?9.7dB,在较宽的频带内可以进行有效的电磁屏蔽、/span>