马来酰亚胺和N-取代马来酰亚胺具有一个乙烯基的官能团,可以进行自由基聚合,而且也有很多文献都描述了N-取代马来酰亚胺可以被用于自由基聚合中的光引发剂。这意味着N-取代马来酰亚胺既可以被用于引发自由基聚合,同时自身也可以被聚合,就是说它在最后所形成的膜中不会作为可被提取的部分存在,或者是仍然具有光活性的残留物、/span>
澳大利亚昆士兰大学的LY Shao等人,对于一系列的N-取代马来酰亚胺的光引发效率进行了系统的研究,发现大部分的N-取代马来酰亚胺在胺和二苯甲酮(BP),或取代二苯甲酮和硫杂蒽酮共同存在的情况下,可以更加高效地引发聚合反应、/span>
Shao等人的研究中,所采用的丙烯酸酯单体是1,6-己二醇二丙烯酸酯(HDDA),胺是N-甲基二乙醇胺(NMDEA)。另外的几种化合物如?所示。同时也设定了几个参数:
Hmax 从放热曲线中所得到的最大释热峰,单位为mW/mg或J/g?s。这一值和光聚合过程中的最大聚合速率直接相关:/span>
tmax- 达到Hmax所需的时?单位为s):/span>
Rp- 聚合速率,单位为s?1。这个值可以从比率(mW/mg或J/g?s) 和每克单体聚合的放热量q?J/g)得到、/span>
? 本光固化实验中所使用的集中化合物的结构和名称缩写

另外还定义了两个参数9/span>
Ip,光引发剂指数。Ip值越大,表明光引发剂系统的效率越高、/span>

Is,N-取代指数,用于评估和未取代马来酰亚胺相比,取代之后的对Rp的正面或者负面影响效果。显然,当取代对速率的影响为正面时,Is>1,而当取代对速率的影响为负面时,Is<1、/span>

研究中所使用到的各种N-取代马来酰亚胺的取代基及相关信息如表2、/span>
? 所用到的N-取代马来酰亚胺及相应英文缩写和分子量

为了表征一下N-取代马来酰亚胺的特殊贡献,首先进行了一个简单的实验来对比N-甲基琥珀酰亚?N-MSI)和N-甲基马来酰亚?N-MMI)对光固化聚合反应的影响。实验采用的配方是添加了3.0%二苯甲酮?.0% NMDEA的HDDA。对比实验结果如?、/span>

? BP作为光敏剂条件下,N-MMI和N-MSI对HDDA的光聚合反应影响的对比。中压汞灯,40℃,通氮气,I0=29?0mW/cm2
从图1的实验结果可以看出,N-MSI对光聚合没有任何的影响,而N-MMI则产生了和?裂解型光引发剂几乎一样高效的光聚合反应。相应的实验数据见表3、/span>
? 从图1实验中所得到的Rp(max)和Ip数据

N-烷基取代的影哌/strong>
从图2和表4的对比数据可以看出,N-烷基取代的马来酰亚胺和非取代马来酰亚胺相比对于Ip的影响不算很大,但是有明显的差别。而且这种影响的趋势和反应环境中的辐照类型(UV波长)及辐照强度关系不大、/span>

? N-烷基取代对于包含0.1% MIs?.0% BP?.0% NMDEA的HDDA混合物光聚合的放热曲线影响?40℃,通氮??a)中压汞灯,带?5%中性滤光器(I0= 8.8?.2Mw/cm2)?b)313nm滤光?I0= 0.39Mw/cm2)?c)365nm滤光?I0= 0.41Mw/cm2)?d) 汞灯中性光(I0= 27.9?9.5Mw/cm2,空气中)
? 从图2实验中所得到系列N-烷基取代马来酰亚胺的Ip(10?3/s2)和Is数据

N-脂基取代的影哌/strong>
?个N-脂基取代的马来酰亚胺也进行了其结构对HDDA在四种不同光聚合条件下的影响。和预期的一样,对于6个N-脂基取代的马来酰亚胺和未取代的马来酰亚胺相比,没有很大的不同(不过HEMI?a)条件下的情形有一些不规则?,但是都具有一定的正面影响。结果分别如?和表5所示、/span>

? N-脂基取代对于包含0.1% MIs?.0% BP?.0% NMDEA的HDDA混合物光聚合的放热曲线影响?40℃,通氮??a)中压汞灯,带?5%中性滤光器(I0= 8.8?.2Mw/cm2)?b)313nm滤光?I0= 0.39Mw/cm2)?c)365nm滤光?I0= 0.41Mw/cm2)?d) 汞灯中性光(I0= 27.9?9.5Mw/cm2,空气中)
? 从图2实验中所得到系列N-脂基取代马来酰亚胺的Ip(10?3/s2)和Is数据

N-芳基取代的影哌/strong>
N-芳基取代马来酰亚胺和N-烷基或N-脂基相比,毒性更小而且合成更加容易。因此,对于N-芳基取代马来酰亚胺的研究就显得特别重要。N-芳基取代的马来酰亚胺在本研究中被分为(o-)邻位?p-)对位两类。一系列N-芳基取代马来酰亚胺对HDDA光聚合效率的应影响对比见?和表6、/span>


? N-芳基取代对于包含0.1% MIs?.0% BP?.0% NMDEA的HDDA混合物光聚合的放热曲线影响?40℃,通氮??a)中压汞灯,带?5%中性滤光器(I0= 8.8?.2Mw/cm2)?b)313nm滤光?I0= 0.39Mw/cm2)?c)365nm滤光?I0= 0.41Mw/cm2)?d) 汞灯中性光(I0= 27.9?9.5Mw/cm2,空气中)
? 从图2实验中所得到系列N-芳基取代马来酰亚胺的Ip(10?3/s2)和Is数据

这些N-芳基取代马来酰亚胺的Ip值顺序为?CF3PCI 2CF3PMI PHMI 2tBPMI > MBAMI > 4CF3PMI > CPMI。苯环上面取代基的位置和结构明显对光引发的效率有至关重要的影响。当313nm?65nm或全波段汞灯被使用时,N-芳基取代马来酰亚胺中苯环上的取代基在邻位时,或者苯环上面没有任何取代基的PHMI,对于引发过程有?Is> 1,但仍然不如N-烷基取代或N-脂基取代的那么大);而苯环上的取代基在对位上时,引发效率会被降低(所有情况下Is<1)。另外一个有趣的现象是,苯环上邻位取代的效率和非取代的PHMI相比差别并不大,而对位取代对效率的影响则很大、/span>
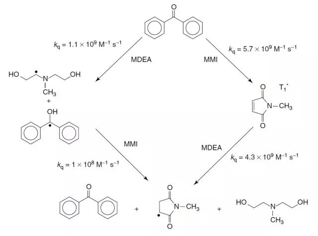
在添加了N-取代马来酰亚胺时的二苯甲酮体系光引发机理如图5所?此处以N-甲基马来酰亚胺为?、/span>

? BP-MDEA-MMI三组分存在情况下的光引发机理
综上所述,对位取代的N-芳基取代基同N-苯基取代基相比会带来聚合速率的降低,而N-烷基、N-脂基和邻位取代的N-芳基三种取代基的马来酰亚胺同没有取代的马来酰亚胺相比,则会提高聚合速率、/span>
该文章来自互联网,如有侵权请和管理员联系删除、/em>