反应概述9br/>
Chichibabin 反应,齐齐巴宾反应,是指吡啶用氨基钠处理时,发生氨基化作用生?-氨基吡啶的化学反应。此反应由前苏联化学家齐齐巴宾于1914年发现、/span>
杂环碱类,与碱金属的氨基物一起加热时发生氨化反应,得到相应的氨基衍生物,如吡啶与氨基钠反应生?-氨基吡啶,如果а位已被占据,则得?氨基吡啶,但产率很低、/span>

本法是在杂环上引入氨基的简便有效的方法,广泛适用于各种氮杂芳环,如苯丙咪唑、异喹啉、吖啶和菲啶类化合物均能发生本反应。喹啉、吡嗪、嘧啶、噻唑类化合物反应较为困难。氨基化试剂除氨基钠、氨基钾外,还可以用取代的碱金属氨化物、/span>

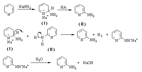
反应机理9/strong>
反应机理还不是很清楚,可能是吡啶与氨基首先加????转移一个负氢离子给质子给予?AH),产生一分子氢气和形成小量的2-氨基吡啶(?,此小量??又可以作为质子的给予体,最后的产物?-氨基吡啶的钠盐,用水分解得到2-氨基吡啶9/span>

反应实例9/strong>
吡啶类化合物不易进行硝化,用硝基还原法制备氨基吡啶甚为困难。本反应是在杂环上引入氨基的简便有效的方法,广泛适用于各种氮杂芳环,如苯丙咪唑、异喹啉、吖啶和菲啶类化合物均能发生本反应、/span>

参考文献:
[1] Elderfield, Heterocyclic Compounds, 1950, 1, 405.
[2] M. T. Leffler,Org. Reactions, 1942, 1, 91.
[3] A. E. Chichibabin, O.A. Zeide, J. Russ. Phys. Chem. Soc. 1914, 46,1216.
[4] J. Org. Chem., 1973, 38, 1974.
[5] R. C. Elderfield, Heterocyclic Compounds, 1950, I, 405.
[6] C. K. Ingold, Structure and Mechanism in Organic Chemistry, p809(London,1953(br/>[7] W.Kunz, H. Krauch, Chemiker Zig, 1958, 82, 802.