|
如何正确的选择摇床振幅?
2023.05.23 点击662欠/div>
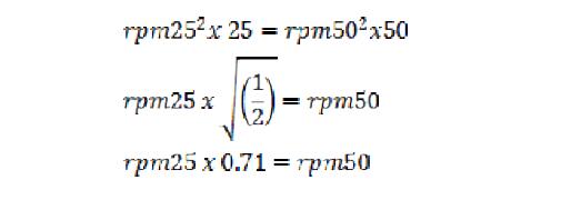
什么是摇床的振幅? 摇床的振幅指托盘在做圆周运动时候的直径,有时候我们也叫“振荡直径”或“轨道直径”符号:?。作为标准,Infors提供振幅?mm?5mm?0mm的摇床、/p> 什么是氧气传递效?OTR)>/strong> 氧气传递效率是指,氧气从大气中传入到液体中的效率 OTR数值越高,氧传递效率越高、/p> 振幅和转速的影响 这两个因素都会影响培养瓶中培养基的混合。混合效果越好,氧传递速率(OTR)就越好。遵循这些指导原则,可以选择Zui适合的振幅和转速、/p> 一般来说,选择25mm振幅可以作为多功能振幅应用于培养、/p> 正因为如此,大多摇床的振幅都?5毫米。在一些应用中,如果对氧传?细胞生长有限制,可能会选择一些其它的振幅、/p> 细菌,酵母和真菌培养9/strong> 摇瓶中的氧气传递效率比生物反应器低得多。多数情况下氧传递可能是摇瓶培养的限制因素。振幅与锥形培养瓶的大小相关:大瓶使用大振幅、/p> 建议?5mm振幅应用于从25毫升?升的锥形培养瓵/p> 50mm振幅应用?升至5升的锥形培养瓵/p> 细胞培养9/strong> *然而,哺乳动物细胞培养对氧气的需求相对较低,较低的功率输入即可、/p> *对于250mL摇瓶,在较为宽广的振幅和振速范?20-60mm振幅?00-300rpm)都可以提供足够的氧气传递、/p> *如果直径较大的烧?Fernbach烧瓶)推荐使用50毫米振幅 *使用一次性培养袋,推荐使?0mm振幅、/p> 微孔板和深孔板: 对微孔板和深孔板有两种不同的方法可以获得Z大的氧气转移?/p> * 50mm振幅,转速不低于250rpm *使用3mm振幅,转速在800-1000rpm 请注意以下几点: 在许多情况下即使选择了合理的振幅,也未必能增加生物培养量,因为培养量的增加会受到多个因素影响。举例:如果十个因素中有一两个不理想,那么无论其他因素有多好,培养量的增长都是有限的,或者可以这样说,如果培养量的受限因素只有氧传递时,振幅的正确选择会得到明显的培养箱增加。比如,碳源若是受限因素,无论氧传递效果多好,也不会达到理想的培养量、/p> 振幅和转逞/strong> 振幅和转速都会对氧传递造成影响。如果在转速很?比如100rpm)的细胞培养中,振幅的不同对氧传递几乎没有明显影响。要达到Zui高的氧传递效果,首先是尽可能的提.高转速,托盘会适当的平衡转速。并不是培养物都能够在高速震荡下良好生长,一些对剪切力敏感的培养物,高转速会导致培养物死亡、/p> 其他影响因素 其他因素对氧传递也会有影响: *装液量,锥形烧瓶的装液量为不超过总体积的三分之一。如果要达到Z大氧传递,装液量不能超?0%。不要将装液量达?0%、/p> *扰流松在各类型的培养中,扰流板都有效提.高氧传递。有些厂家推荐使用“高产量”培养瓶。这种瓶的扰流板会增加液体摩擦力,摇床可能会达不到Z大设定转速、/p> 振幅和转速的关联关系 摇瓶中的离心力可以通过下面公式计算 FC=rpm2 ×振幅 离心力和振幅间存在线性关系:如果使用25mm振幅 50mm振幅(转速相?,离心力增加?倌/p> 离心力和转速存在平方关糺 如果转速提.高到2?振幅相同),离心力??倍。如果转速提.高到3倍,离心力则??倍! 如果用振?5mm,在给定的速度下,进行培养。如果希望用振幅50mm,达到相同的离心力,转速应该用1/2的平方根计算,因此您应该使用70%的转速,达到形同的培养条件、/p>
请注意上述只是理论上的计算离心力的方法。现实应用中会有其他影响因素。这种计算方法可以得到近似值,供操作参考、/p> |
产品分类
|



