|
实验讲义——电池电动势的测宙/div>
2021.12.13 点击9701欠/div>
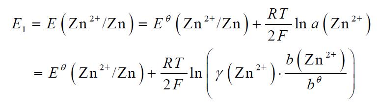
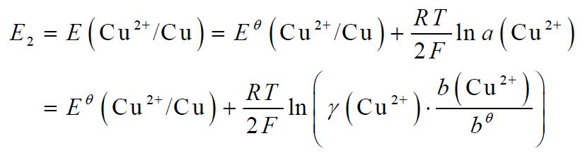
一、实验目皃/strong> 1、了解补偿法原理:掌握电势差计的使用:/p> 2、测定下列三组电池的电动势: A) Zn | ZnSO4( b = 0.1mol·kg-1) || CuSO4( b = 0.1mol·kg-1) | Cu B) Zn | ZnSO4( b = 0.1mol·kg-1) || KCl (饱和 ) Hg2Cl2(s) | Hg C) Hg | Hg2Cl2(s) KCl (饱和 ) || HCl (b = 0.1mol·kg-1),氢 | Pt 二、实验原 (补偿法原 ) 电化学中关心的是可逆电池的电动势,因而要求测量过程中通过的电流无限小,补偿法就是通过在外电路上加上一个大小相等,方向相反的电势差与原电池相抗衡,达到测量回路中电 I ?的目的。其线路示意图见 1、img src="//www.vuestras.com/sangli/data/daily/2021/12/13/100333_455176_article_1049016.jpg" width="680" height="291" border="0" vspace="0" title="" alt="" style="width: 680px; height: 291px;"/> 1 补偿法原理图 测电动势用的仪器称为电位差计,其主要部件为阻值精确且均匀电阻 ( 1中的 AB?、/p> 测量时接 K2,即将待测电 Ex接入电路,然后移动接头,若移 C处时检流计 G上显示电 I?则表 AC段上的压降等于待测电 Ex的电动势,由仪器可读出其电势差的数 .但电势差的数值不仅决定于电阻,而且与流经电路的电流大小有关,而仪器使用时实际的电流大小是不定的,这样对仪器刻度数值的可靠性就带来了问题。为此电位差计在测量 Ex前必须对其读数进行校准——仪器标准化。进行仪器标准化时接 K1,即将标准电势差 (Es=1.0000V)接入电路,移动接头至 D处,然后调节可变电阻 R至检零指 G上显示电 I?,表 AD段上的压降等于标准电势差 Es,即仪器的标准化是调节电流,或者说是校正仪器读 . 三、仪器与试剂 3.1 仪器 SDC-Ⅱ数字电位差综合测试仪;甘汞电极,铂电极,铜电极,锌电极各一支;金相砂纸;U形玻璃管?00 mL烧杯 4个、/p> 3.2 试剂 0.1 mol·kg-1CuSO4?.1 mol·kg-1ZnSO4?.1 mol·kg-1HCl;饱 KCl;琼脂、/p> 四、实验步骣/strong> 4.1 制作盐桥 取琼 3 g,饱 KCl 100 mL加热至完全溶解,趁热将此溶液装入 U形玻璃管中,静置固化后即可使用、/p> 4.2 处理Cu、Zn电极:先用金相砂纸除去电极表面的氧化物,用蒸馏水冲洗檫干,并用纸吸干备用、/p> 4.3 仪器标准匕/p> (1) 打开仪器开关,将测量选择旋钮旋至“内标“/p> (2) 调节电位旋钮至电位指示为 1.00000 V (3) 按“采零”键至检零指示为 0.000 V 4.4 测量电池电动 E (1) ?00mL烧杯 2个,分别装入半杯 0.1 mol·kg-1CuSO4 0.1 mol·kg-1ZnSO4,分别插入Cu电极和Zn电极,中间架以盐桥,即构成铜─锌电池、/p> (2) 将电池接入测量端;将测量选择旋钮旋至 “测量“/p> (3) 由大到小依次调节电位旋钮至检零指示为 0.000时记录电位指示的读数即为待测电池的电动势、/p> (4) 重复上述4.3?.4步骤,记录第二次数据 (5) 更换电极重复以上操作测量另两个电池的电动势、/p> 其中甘汞电极──KCl(饱和) Hg2Cl2(s) | Hg,将甘汞电极置于饱和 KCl溶液中即可; 其中氢醌电极──HCl(b = 0.1 mol·kg-1),氢 | Pt,将铂电极置于溶有少量氢醌的 HCl(b = 0.1 mol·kg-1)溶液中即可、/p> ¤ 实验完毕拆除线路;将饱和甘汞电极放回饱和KCl溶液中保存;实验用KCl倒入回收瓶,清洗电极和烧杯,整理仪器及桌面、/p> 五、实验数据处琅/strong> 5.1 计算各电极的电极电势 E(电极)、/p> 锌电?/p>
铜电?/p>
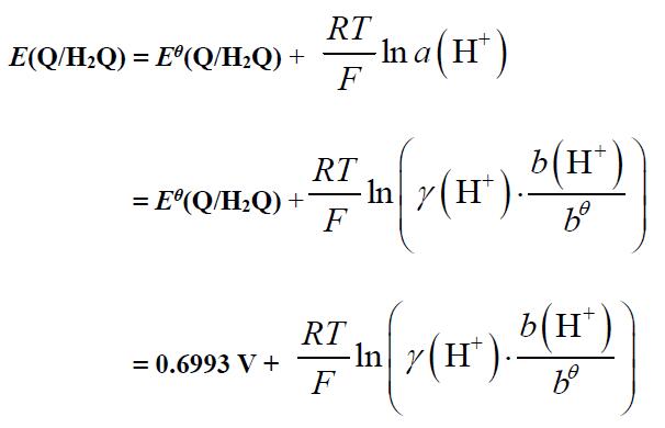
式中 : bθ= 1 mol·kg-1 γ (Zn2+)?nbsp;γ(ZnSO4) ?nbsp;γ (Cu2+)?nbsp;γ(CuSO4) 可查《物理化学》下 P.16 7.4.1 甘汞电极 参见《物理化学》下 P.35 E(饱和甘汞)?0.2410-7.6×10-4(t/?25)) V 醌氢醌电?/p> 参见《物理化学》下 P.36 37
式中:?H+) γ(HCl)可查《物理化学》下 P.16 7.4.1 5.2 计算各电池的电动 : E=E+-E- 5.3 计算实验数据的相对误?/p>
|
产品分类
|





