[ 登录] [ 免费注册]
试剂仪器? title=
位置9a href="/">首页> 原料、中间体、气佒/a> > 塑料助剂
光稳定剂944
光稳定剂944图片
等级规格: 分子?000?000
包装: 25KG/纸板桶内衬塑袊/td>
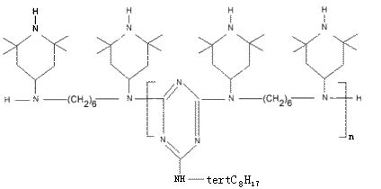
CAS NO: 71878-19-8
分子弎 (C35H68N8)n
分子野 >2000


产品名称
?{[6-[(1,1,3,3,-四甲基丁?-胺基]1,3,5,-三嗪-2,4-二基][(2,2,6,6-四甲基哌啶基)-亚胺基]-1,6-己烷二基-[(2,2,6,6-四甲基哌啶基)-亚胺基]}
产品介绍

【产品规格【/span>

项  ?/span> 指  栆/span>
外  见/span> 白色或淡黄色粉末
挥发 %(m/m) ?.5
软化 ℂ/span> ?00
%(m/m) ?.5
野/span> 2000?000
透光率,% ?0(425nm(/span>
?5(500nm)

特性和用途:
光稳定剂944为受阻胺类高分子量光稳定剂,因其分子中有多种官能团,故光稳定性能高。由于分子量大,该产品具有很好的耐热性、耐抽提性、更低的挥发性和迁移性以及良好的树脂相容性、br/> 光稳定剂944主要适用在低密度聚乙烯薄膜、聚丙烯纤维、聚丙烯胶带、EVA薄膜、ABS、聚苯乙烯及食品包装等方面、br/>贮存和包装:
光稳定剂944采用25KG纸板桶内衬塑袋包装。密封干燥避光条件下储藏保存、/span>

南京米兰化工有限公司
电话:点击&查看
联系亹 米兰化工
邮编: 211219
地址: 江苏省南京市溧水洪蓝工业?/span>
同品牌产品:
猜您感兴趢/div>
换一扸/a>
来访登记
请留下您的联系方式,登记完成即可查看电话与供应商联系,或等候供应商联系您、/div>
留言类型9/div>
*姓名9/div>
*电话9/div>
*单位9/div>
Email9/div>
*留言内容9/div>
请说明需求数量,型号规格以及纯度含量等要求
*验证码:
Baidu
map