å…费会员ç¬?span style="font-size:1.5em;color:#f21">10å¹³ü/div> 访问野ú 185592 网å€:milanchemical.cnreagent.com 在线留言
äº§å“æœç´¢
催化剂åŠåЩ剂 >> 塑料助剂
光稳定剂944
光稳定剂944图片
等级规格: 分å­é‡?000ï½?000
包装: 25KG/çº¸æ¿æ¡¶å†…衬塑袊ü/span>
ç´¢å–èµ„æ–™åŠæŠ¥ä»¶ü/span>
等级规格: 分å­é‡?000ï½?000
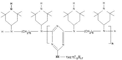
CAS NO: 71878-19-8
产å“别å: è?{[6-[(1,1,3,3,-四甲基ä¸åŸ?-胺基]1,3,5,-三嗪-2,4-二基][(2,2,6,6-四甲基哌啶基)-亚胺基]-1,6-己烷二基-[(2,2,6,6-四甲基哌啶基)-亚胺基]}
分å­å¼Žú (C35H68N8)n
分å­é‡Žú >2000
产å“介ç»

ã€äº§å“è§„æ ¼ã€ü/span>

项  ç›?/span> 指  栆ü/span>
外  è§ü/span> 白色或淡黄色粉末
挥å‘åˆ %(m/m) â‰?.5
è½¯åŒ–ç‚ â„‚ü/span> â‰?00
ç åˆ %(m/m) â‰?.5
åˆ å­ é‡Žü/span> 2000ï½?000
é€å…‰çŽ‡ï¼Œ% â‰?0(425nm(ü/span>
�5(500nm)

特性和用途:
光稳定剂944为å—阻胺类高分å­é‡å…‰ç¨³å®šå‰‚,因其分å­ä¸­æœ‰å¤šç§å®˜èƒ½å›¢ï¼Œæ•…光稳定性能高。由于分å­é‡å¤§ï¼Œè¯¥äº§å“具有很好的è€çƒ­æ€§ã€è€æŠ½ææ€§ã€æ›´ä½Žçš„æŒ¥å‘性和è¿ç§»æ€§ä»¥åŠè‰¯å¥½çš„æ ‘脂相容性ã€übr/> 光稳定剂944主è¦é€‚用在低密度èšä¹™çƒ¯è–„膜ã€èšä¸™çƒ¯çº¤ç»´ã€èšä¸™çƒ¯èƒ¶å¸¦ã€EVA薄膜ã€ABSã€èšè‹¯ä¹™çƒ¯åŠé£Ÿå“包装等方é¢ã€übr/>贮存和包装:
光稳定剂944采用25KGçº¸æ¿æ¡¶å†…衬塑袋包装。密å°å¹²ç‡¥é¿å…‰æ¡ä»¶ä¸‹å‚¨è—ä¿å­˜ã€ü/span>

相关产å“
Baidu
map