前言
方便面虽然是不健康食品,但是大家还是忍不住吃一顿解解馋。偶尔解馋尚可,切记不可过量。方便面中的酱包含有大量油脂,都是饱和脂肪酸,经常食用会对人体产生明显的危害,以及方便面中的粉包含有大量的盐和味精,过量食用会容易得高血压。还有面饼是经过油炸的,油脂渗透了面饼里。索氏萃取法是我国大部分现行国家标准所规定的脂肪抽提标准方法,而格丹纳的FT-660全自动索氏脂肪测定仪是按照传统索氏萃取法进行设计的抽提设备。因此,本方案通过FT-660全自动索氏脂肪测定仪对方便面面饼中脂肪含量进行测定、/p>
实验部分
1.仪器9/strong>
FT-660全自动索氏脂肪测定仪(格丹?
万分之一电子分析天平
干燥箰/p>
100mL量筒
2.试剂和耗材9/strong>
石油?60?0?
实验用水(符合GB/T6682中三级用水的规格),分析纯
纤维素滤筑/p>
脱脂棈/p>
样品滤筒

3.脂肪测定仪操作步骤:
(1).仪器准备:请参照说明书,清洗溶剂杯,干燥并称重记为m0、/p>
(2).取样:将样品在研钵中研碎;精确称取样品约2g左右(记为m)、/p>
(3).酸水解:将称量好样品放入3mol/L的盐酸溶液中,缓慢沸?h,至溶液中淀粉水解完全;过滤,并洗涤至中性,烘干,得前处理样品、/p>
(4).萃取:将前处理后的样品,放入纤维素滤筒内,并覆盖上一层脱脂棉,再放入样品滤筒;加入抽提溶?0mL,开启冷水机,启动脂肪测定仪。设置循环次?0次,回流时间2.5h、萃取温?5℃,进行萃取。预干燥15min、/p>

(FT-660全自动索氏脂肪测定仪)
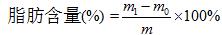
(5).计算结果:抽提完成后,烘干溶剂杯至恒重,称重记为m1、/p>
增重法计算脂肪含量:

其中,m1──溶剂杯和粗脂肪质量,g:/p>
m0──溶剂杯质量,g:/p>
m ──试样质量,g:/p>
计算得出实验结果、/p>
结果分析
由表中数据可知,采用FT-660全自动索氏脂肪测定仪测试的方便面面饼样品中两个平行样数据的重复性符合国标GB/T14772-2008标准,即方便面面饼样品的脂肪含量?5.75%。FT-660全自动索氏脂肪测定仪根据索氏抽提原理、用重量测定方法来测定脂肪含量。即在有机熔剂下溶解脂肪,用抽提法使脂肪从熔剂中分离出来,然后烘干,称量,计算出脂肪含量。在对样品进行热萃取时发现,使用FT-660比传统提取法缩短20%?0%的提取时间,大大提高了萃取速度、/p>